DFS란?
- Depth First Search, 깊이 우선 탐색
- 깊은 부분을 우선적으로 탐색하는 알고리즘 -> 더 깊이, 끝까지 들어가본다
- 스택 자료구조 ( 또는 재귀함수 ) 이용
- 1. 탐색 시작 노드를 스택에 삽입하고 방문 처리
- 2. 스택의 최상단 노드(맨 위, 먼저 빠지는 놈)에 있는 놈 부근에 방문하지 않은 노드가 있으면 그 노드를 스택에 넣고 방문 처리
- 3. 방문하지 않은 인접 노드가 없으면 ( 근처에 다 방문했으면 ) 스택에서 최상단 노드 꺼냄
- 4. 2~3 과정 수행할 수 없을 때까지 반복
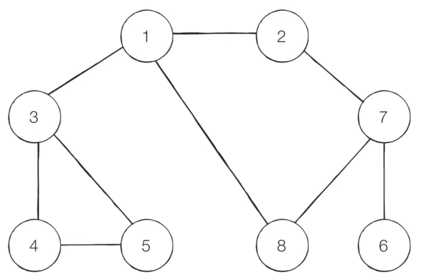
DFS 동작 예시

- 시작 노드 : 1
- 방문 기준 : 번호가 낮은 인접 노드부터

1번 방문 처리 -> 2번 방문 처리 -> 7번 방문 처리 -> 6번 방문 처리
스택 최상단 노드인 6번 부근에 인접 노드가 없으므로 스택에서 뺀다 -> 7번 인접 노드인 8번 방문 처리

스택 최상단 노드인 8번 부근에 인접 노드가 없으므로 뺀다 -> 최상단 노드 부근에 인접 노드가 있을 때까지 뺀다
-> 최상단 노드가 1번이 되고 인접 노드인 3 방문 -> 4 방문 -> 5 방문
방문 순서 : 1 -> 2 -> 7 -> 6 -> 8 -> 3 -> 4 -> 5
- 6번까지 깊게 파고 들어가서 탐색한다 = 깊이 우선 탐색
- 각 번호마다 인접 노드를 찾는 동일한 메커니즘을 계속 수행해준다 = 재귀 (나중에 코드로 칠 때 이 재귀의 개념 이해 )
코드로 보기
graph = [
[], #인덱스랑 번호 맞추기 위해 앞에 빈 리스트 추가
[2,3,8],
[1,7],
[1,4,5],
[3,5],
[3,4],
[7],
[2,6,8],
[1,7]
]
visited = [False]*9 #[False,False,False,False,False,False,False,False,False]
def dfs(graph,v,visited): #v는 시작 노드
visited[v] = True #현재 노드 방문 체크
print(v,end='') #방문한 순서 적어주는 (출력해주는) 코드. end='' 의미는 줄 띄우는 거 없이 출력한다는 뜻
for i in graph[v]: #방문 노드의 인접 노드를 살펴본다
if not visited[v]: #인접 노드가 False라면 = 인접 노드에 아직 방문하지 않았다면
dfs(graph,i,visited) #이 함수를 재귀적으로 사용해라 = 파고 들어가보자 = 깊이 우선 탐색!
* if not
더보기
if not ABC :
실행구문
#ABC가 false 라면 , 실행구문 해라!
BFS란?
- Breadth First Search, 너비 우선 탐색
- 가까운 노드를 우선적으로 탐색하는 알고리즘 -> 최단 경로 탐색
- 큐 자료 구조 이용
- 1. 탐색 시작 노드를 큐에 삽입하고 방문 처리
- 2. 큐에서 노드를 꺼내고(큐 자료 구조에서는 먼저 들어간 놈이 먼저 빠짐) 빠지는 놈 부근에 방문하지 않은 노드가 있으면 그 노드를 모두 큐에 넣고 모두 방문 처리
- 3. 방문하지 않은 인접 노드가 없으면 ( 근처에 다 방문했으면 ) 큐에서 노드 꺼냄
- 4. 2~3 과정 수행할 수 없을 때까지 반복
BFS 동작 예시

- 시작 노드 : 1
- 방문 기준 : 번호가 낮은 인접 노드부터

1번 방문 처리 후 큐에 삽입 -> 1번 노드 큐에서 빼고 인접 노드인 2, 3, 8번 방문 처리 후 큐에 삽입

2번 큐에서 빼고 2번 인접 노드 중 방문 안한 7번 방문 처리 후 큐에 삽입

3번 큐에서 빼고 인접 노드 중 방문 안한 4, 5번 방문 처리 후 큐에 삽입
큐 밑에서부터 빼면서 방문 안한 인접 노드 있는 번호까지 계속 뺌
7번 인접 노드 중 방문 안한 6번 있으므로 6번 방문 처리 후 큐에 삽입
큐에서 모든 번호가 사라질 때 까지 빼면 동작 종료
탐색 순서 : 1 -> 2 -> 3 -> 8 -> 7 -> 4 -> 5 -> 6
- 길이가 1인 노드부터 우선적으로 탐색된다 -> 최단 경로 탐색
코드로 보기
from collections import deque
graph = [
[], #인덱스랑 번호 맞추기 위해 앞에 빈 리스트 추가
[2,3,8],
[1,7],
[1,4,5],
[3,5],
[3,4],
[7],
[2,6,8],
[1,7]
]
visited = [False]*9 #[False,False,False,False,False,False,False,False,False]
def bfs(graph,start,visited):
queue = deque([start]) #queue라는 이름으로 큐 자료구조를 만들고, start 먼저 넣어줌
visited[start] = True #방문 처리
while queue: #while 리스트: 의 의미 = 리스트가 빌 때까지!!! -> queue가 빌 때까지 반복
v=queue.popleft() #리스트의 왼쪽부터 꺼낸다 = 큐에서 젤 먼저 들어온 놈부터 꺼낸다
print(v,end=' ') #방문 순서 출력
for i in graph[v]: #큐에서 꺼낸 놈의 인접 노드에서 하나씩 보자
if not visited[i]: #하나씩 봐서 만약 아직 방문 안했던 거라면
queue.append(i) #큐에 넣어주고
visited[i]=True #방문처리 해라
*while queue:
더보기
while 리스트 혹은 큐 혹은 뭐 들어있는 거 :
반복문
#들어있는 놈이 빌 때까지 반복문 실행!
'PS' 카테고리의 다른 글
| 7주차 [ 음료수 얼려 먹기 ] (0) | 2021.08.06 |
|---|---|
| 7주차 [백준 2606 - 바이러스] (0) | 2021.08.05 |
| 6주차 [ 프로그래머스 - 카카오 다트게임 ] (0) | 2021.07.30 |
| 6주차 [ 프로그래머스 - 완주하지 못한 선수 ] zip (0) | 2021.07.28 |
| 6주차 [ 프로그래머스 - 모의고사 ] (0) | 2021.07.27 |